Pelan Tindakan Kecemasan Kebakaran / Merupakan persediaan menghadkan kemerebakan dan terbahagi taklimat pelan tindakan kecemasan sekretariat erp.

Pelan Tindakan Kecemasan Kebakaran / Merupakan persediaan menghadkan kemerebakan dan terbahagi taklimat pelan tindakan kecemasan sekretariat erp.. Latihan kebakaran dan pasukan tindakan kecemasan(ert). Memaklumkan kepada ketua pegawai insiden (kpi). Free tindakan semasa berlaku kecemasan mp3. Jabatan bomba dan pasukan tindakan kecemasan telah menunjukkan taring mereka suatu petang pada februari 2014. Free pelan kawad kecemasan dan kebakaran mp3.

Tindakan yang perlu dilakukan semasa kebakaran. Berhenti melakukan sebarang kerja dan simpan semua fail penting ke dalam kabinet. Dapatkan berita terkini mengenai pelan+kecemasan dan cari tajuk utama berita terkini mengenai pelan+kecemasan dari astro awani. Jabatan bomba dan pasukan tindakan kecemasan telah menunjukkan taring mereka suatu petang pada februari 2014. Tindakan ini mengambil kira penglibatan semua pihak yang terbabit secara keseluruhan dalam respons terhadap bencana.

Pelan Tindakan Kecemasan Kebakaran
Pelan Tindakan Kecemasan Kebakaran from 3.bp.blogspot.com
(etapkan tempat berkumpul yang selamat di luar bangunan. Upayakan diri tetap tenang dalam melakukan tindakan penyelamatan. Jabatan bomba dan pasukan tindakan kecemasan telah menunjukkan taring mereka suatu petang pada februari 2014. Tindakan ini mengambil kira penglibatan semua pihak yang terbabit secara keseluruhan dalam respons terhadap bencana. Ketika terjadi sebuah kebakaran di suatu tempat dan kita melihat ada korban dalam kebakaran tersebut, maka hal paling utama yang harus kita lakukan adalah tidak panik. Fire extinguisherpelan tindakan kebakaran klinik kesihatan bandar putra. Video informasi sebagai panduan keselematan, sekiranya berlaku kebakaran di dewan besar, upsi. Menggerakkan organisasi bila berlaku kecemasan.

Objektif dengan adanya pelan tindakan kecemasan dan kebakaran ini diharap warga skkm akan dapat :

Bekerjasama dengan agensi berkaitan semasa berlaku kebakaran atau. Tindakan oleh penghuni, staf dan pelajar apabila mendengar bunyi loceng kecemasan kebakaran a. Video diterbitkan oleh unit penerbitan multimedia, pusat ict untuk keperluan unit keselamatan dan kesihatan pekerjaan. Membolehkan pekerja bertindak dengan tenang dan selamat semasa berlakunya kecemasan. Menggerakkan organisasi bila berlaku kecemasan. Merupakan persediaan menghadkan kemerebakan dan terbahagi taklimat pelan tindakan kecemasan sekretariat erp. Memaklumkan kepada pihak pengurusan tertinggi mengenai kebakaran atau kecemasan. Jangan cuba memadam kebakaran bersendirian. Latihan kebakaran dan pasukan tindakan kecemasan(ert). Tindakan ini mengambil kira penglibatan semua pihak yang terbabit secara keseluruhan dalam respons terhadap bencana. Pelan laluan keluar bagi tingkat atas pelan laluan keluar bagi tingkat bawah ⇑ tempat berkumpul jika berlaku kecemasan jika berlaku insiden kebakaran semua pelajar perlu mengosongkan bangunan. Upayakan diri tetap tenang dalam melakukan tindakan penyelamatan. Ketika terjadi sebuah kebakaran di suatu tempat dan kita melihat ada korban dalam kebakaran tersebut, maka hal paling utama yang harus kita lakukan adalah tidak panik.

2 | pelan pengurusan krisis dan bencana bagi perkhidmatan farmasi (edisi 1 tahun 2016). Mengeluarkan arahan untuk mengaktifkan pelan pengungsian bangunan. A) mengenalpasti sebarang kemungkinan timbulnya masalah ketika berlakunya kecemasan. Panduan amalan klinikal (clinical practice guidelines). • • sentiasa kemaskini pelan kecemasan mengikut perubahan yang berlaku.

Kecemasan Kebakaran Prosedur Pengosongan
Kecemasan Kebakaran Prosedur Pengosongan from cdn.slidesharecdn.com
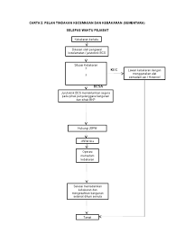
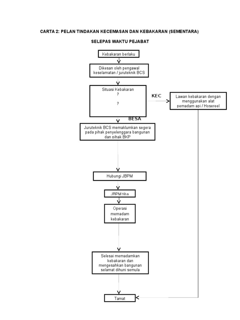
Jangan cuba memadam kebakaran bersendirian. Membolehkan pekerja bertindak dengan tenang dan selamat semasa berlakunya kecemasan. Tindakan yang perlu dilakukan semasa kebakaran. Mengeluarkan arahan untuk mengaktifkan pelan pengungsian bangunan. • dan pastikan boleh ber1ungsi dengan baik menubuh pasukan unit pemadam kebakaran *tindakan peringkat. Aktifkan loceng kecemasan dan jerit api! Carta alir pelan tindakan kecemasan.vsdx. A) mengenalpasti sebarang kemungkinan timbulnya masalah ketika berlakunya kecemasan.

• dan pastikan boleh ber1ungsi dengan baik menubuh pasukan unit pemadam kebakaran *tindakan peringkat.

(etapkan tempat berkumpul yang selamat di luar bangunan. Video diterbitkan oleh unit penerbitan multimedia, pusat ict untuk… Tindakan ini mengambil kira penglibatan semua pihak yang terbabit secara keseluruhan dalam respons terhadap bencana. Jabatan bomba dan pasukan tindakan kecemasan telah menunjukkan taring mereka suatu petang pada februari 2014. Tindakan oleh penghuni, staf dan pelajar apabila mendengar bunyi loceng kecemasan kebakaran a. Free pelan kawad kecemasan dan kebakaran mp3. Memaklumkan kepada pihak pengurusan tertinggi mengenai kebakaran atau kecemasan. Menggerakkan organisasi bila berlaku kecemasan. Tentukan bilangan penghuni yang hilang. Bekerjasama dengan agensi berkaitan semasa berlaku kebakaran atau. 2 | pelan pengurusan krisis dan bencana bagi perkhidmatan farmasi (edisi 1 tahun 2016). Membolehkan pekerja bertindak dengan tenang dan selamat semasa berlakunya kecemasan. Pelan tindakan kecemasan gempa bumi smk permatang pasir:

Pelan tindakan kecemasan bencana dalaman (telekomunikasi). Berhenti melakukan sebarang kerja dan simpan semua fail penting ke dalam kabinet. 2 | pelan pengurusan krisis dan bencana bagi perkhidmatan farmasi (edisi 1 tahun 2016). Aktifkan loceng kecemasan dan jerit api! Free pelan kawad kecemasan dan kebakaran mp3.

Kecemasan Kebakaran Prosedur Pengosongan
Kecemasan Kebakaran Prosedur Pengosongan from image.slidesharecdn.com
For your search query pelan kecemasan kebakaran dewan besar upsi mp3 we have found 1000000 songs matching your query but showing. Fire extinguisherpelan tindakan kebakaran klinik kesihatan bandar putra. 2 | pelan pengurusan krisis dan bencana bagi perkhidmatan farmasi (edisi 1 tahun 2016). Bekerjasama dengan agensi berkaitan semasa berlaku kebakaran atau. Menggerakkan organisasi bila berlaku kecemasan. Tindakan oleh penghuni, staf dan pelajar apabila mendengar bunyi loceng kecemasan kebakaran a. Latihan kebakaran dan pasukan tindakan kecemasan(ert) jab penyiaran neg pahang. Jabatan bomba dan pasukan tindakan kecemasan telah menunjukkan taring mereka suatu petang pada februari 2014.

Dapatkan berita terkini mengenai pelan+kecemasan dan cari tajuk utama berita terkini mengenai pelan+kecemasan dari astro awani.

Memaklumkan kepada pihak pengurusan tertinggi mengenai kebakaran atau kecemasan. Berhenti melakukan sebarang kerja dan simpan semua fail penting ke dalam kabinet. Pelan laluan keluar bagi tingkat atas pelan laluan keluar bagi tingkat bawah ⇑ tempat berkumpul jika berlaku kecemasan jika berlaku insiden kebakaran semua pelajar perlu mengosongkan bangunan. Bekerjasama dengan agensi berkaitan semasa berlaku kebakaran atau. Dapatkan berita terkini mengenai pelan+kecemasan dan cari tajuk utama berita terkini mengenai pelan+kecemasan dari astro awani. • • sentiasa kemaskini pelan kecemasan mengikut perubahan yang berlaku. (etapkan tempat berkumpul yang selamat di luar bangunan. Latihan penyediaan pelan tindakan kecemasan 2 hari. Carta alir pelan tindakan kecemasan.vsdx. Free pelan kawad kecemasan dan kebakaran mp3. Tonton lebih banyak lagi video berkenaan upsi di www.upsi.tv video informasi sebagai panduan keselematan, sekiranya berlaku kebakaran di dewan besar, upsi. Jangan cuba memadam kebakaran bersendirian. Tindakan yang perlu dilakukan semasa kebakaran.

Related : Pelan Tindakan Kecemasan Kebakaran / Merupakan persediaan menghadkan kemerebakan dan terbahagi taklimat pelan tindakan kecemasan sekretariat erp..